容性负载方波调制高压变压器的设计
为解决在静电陀螺和静电加速度计等高精度惯性仪表中,方波调制高压变压器输出方波发生畸变,降低了波形的实际出力系数的问题,该文对方波变压器的特性进行分析,得出了影响其波形畸变的各种因素。以此为依据设计的一种变压器,获得了最大输出电压1.76 kV、出力系数0.92、带宽大干47 kHz的优异性能。结果表明,通过对方波变压器的特性进行分析,选择合理的参数和工艺,能够显著提高方波的出力系数。
高压变压器是交流静电悬浮系统中的关键元件之一,对其要求为输出电压高、体积小、效率高、绝缘性能好、制作工艺简单。交流静电悬浮系统的调制波有正弦波和方波两种,其中正弦波出力系数低,仅用于对承载能力要求不高的场合;方波的突出优点是出力系数大,美国Honeywell公司1960年代末研制的方波静电悬浮系统,出力系数近0.9,并应用于航空静电陀螺仪;中国对方波静电悬浮系统的研究始于l970年代,设计出的方波变压器出力系数达0.84。但方波静电悬浮系统至今在国内仍没得到应用,究其原因,除相对功耗较大外,方波调制高压变压器(以下简称方波变压器)输出方波波形的畸变导致出力系数降低也是个重要因素。因此建立方波变压器的理论模型,分析影响其输出波形的各种因素,对于方波静电悬浮系统的研制具有重要意义。
1 方波变压器的特性分析
方波高压变压器的T型等效电路如图l所示。

图中ui为初级电压,u'o为输出电压,R1为初级铜阻,Ls为漏感,L1为激磁电感,RT为铁损分量,C'1为分布电容,R'2为次级铜阻。带“'”的参数为折算到初级后的结果。
这是一个3阶网络,其解析解形式复杂,不利于直接分析电路中各参数对变压器输出波形的影响;而每个方波脉冲都由上升沿、平顶、下降沿3部分组成,导致各部分畸变的主要因素也不同,因此可按方波的3个组成部分分别对图1进行简化建模,得出直观的结果。
1.1 方波上升沿
由于高压变压器绕组间存在漏感,绕组及高压引线间存在分布电容,这些寄生参数的存在,使前沿很陡的方波加到变压器上时,在变压器中将产生复杂的振荡过程。高压变压器的激磁电感远大于漏感,因此在研究方波上升沿形成过程时其分流作用可以忽略不计,此时变压器等效电路如图2所示。

对于高压变压器有R1《RT和Ls《RT成立,因此铁损分量对方波上升沿的影响可以忽略。设输入为单位电压,即ui=1;

其中ξ为系统阻尼比,ωn为无阻尼自然频率,则方程的解为:

不同ξ值时的方波前沿曲线如图3所示。
由图3可知,方波上升沿仅与ξ有关,而ξ与R1及

成正比。
1.2 方波平顶
方波前沿结束后,分布电容上的电压和流过漏感的电流都达到稳定值,且在平顶期间变化不显著,因此在分析平顶的形成过程时可忽略分布电容及漏感的影响,则反映方波平顶形成过程的变压器等效电路如图4所示。

式中TD=L1/R1,为变压器电路的低频时间常数。
式(5)表明,方波前沿结束后,变压器输出电压随时间按指数规律下降,而且低频时间常数越小,电压降低的速度越快。设方波周期为T,则方波平顶期间电压的相对变化量为

式(6)表明,方波平顶降落的大小与R1、T成正比,与L1成反比。因此可采取减小初级铜阻、增大激磁电感和提高变压器工作频率的措施减小方波的平顶降落。
1.3 方波下降沿
方波平顶结束后,变压器从功率放大电路“断开”,存储在激磁电感、漏感、分布电容中的能量就会被释放出来。反应方波下降沿形成过程的变压器等效电路如图5所示。


由图6可知方波下降沿仅与δ有关,且δ越大方波下降沿畸变越小。
综合以上分析可知,变压器的各参数对输出方波的影响如下:
1)激磁电感L1主要影响方波平顶和下降沿,其值越大,平顶降落和下降沿畸变越小;
2)分布电容C'1主要影响方波前后沿,其值越小,方波上升和下降时间越短;
3)初级铜阻R1主要影响方波上升沿和平顶,其值越小,方波上升时间越短,平顶降落越小;
4)漏感Ls主要影响方波上升沿,从减小上升时间和改善振荡考虑对其有不同要求,且在变压器加工过程中漏感和公布电容的控制相冲突,因此在设计时可不将其作重点控制对象,随后根据实验情况调整系统参数削弱其不利影响;
5)铁损分量RT主要影响方波下降沿,但其主要由铁芯材料和变压器工作频率决定。
2 变压器设计与性能分析
2.1 变压器设计
综合考虑系统带宽、功耗及变压器体积限制,方波变压器的适宜工作频率为1.5~4.O kHz;在铁心选材方面,数据表明,在铁氧体、玻莫合金、非晶和微晶合金等铁磁材料中,微晶合金具有磁导率高、饱和磁通密度大、电阻率大和比损耗小的优点,是制作方波变压器铁心的理想材料;为简化制作工艺,变压器采用了C型铁心和同轴圆筒式绕组结构,并采用双线并绕和分层分段绕制工艺。经反复计算和多次改进后,变压器的最终结构参数如表l所示。

2.2 性能分析
衡量变压器性能的主要指标包括出力系数、最大输出电压、通频带宽度和功耗等。
1)出力系数
出力系数又称为力-电压系数,是表征波形承载能力的量值。由于静电力与所施加电压的平方成正比,波形出力系数的定义为

式中um为电压幅值。
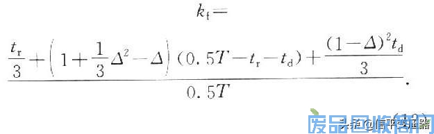
当u(t)=umsinωt时,kf=0.5。方渡变压器典型输出波形如图7所示,其上升沿、平顶和下降沿可分别看作一段直线,则由式(11)可导出其出力系数为

式中:T为方波周期,tr为上升时间,td为下降时间,△为平顶相对变化量。
对于理想方波,tr=td=0,△=O,则kf=1。实测变压器带75 pF负载工作于1.6 kHz时,输出波形如图7所示,tr=8.0μs,td=4.8 μs,△≤5%,则其出力系数为kf≈O.92。

2) 变压器其它性能指标
变压器空载和带额定负载时的频率特性曲线如图8所示。从图8可以看出:1)变压器在通频带内具有良好的带通特性;2)变压器空载时通频带为92.6 kHz,带负载后为47.1 kHz;3)由于负载为电容性,变压器带负载后串、并联谐振频率降低,实测空载时的串、并联谐振频率分别为58.0 kHz、3.10 kHz,带负载后串、并联谐振频率降为30.1kHz、1.6 kHz。

变压器带负载后输出800 V时功耗为3.24 W最大输出电压1.76 kV时的功耗为6.91W。
3 结 论
本文根据方波的3个组成部分建立了上升沿、平顶和下降沿形成时的变压器模型,分析了变压器各参数对输出波形的影响,为方波变压器的设计和性能优化提供了理论依据。以此为指导设计的一种方波变压器,获得了最大输出电压1.76 kV,带宽47 kHz,出力系数0.92的优异性能。