
在选定所用添加剂的种类之后,必须确定它的加入量。鉴于塑料的老化程度不同,而且在混合废料中即有一次回收料,也有二次回收料,因此要精确地确定添加剂的加入量是比较困难的。一般通过实践经验和参照试验配方并结合公式计算来确定。必须注意,所计算出来的数量在很大程度上仍然是估计量,还须根据试验来确定合理的加入量。
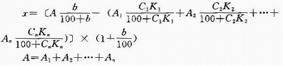
(1) 计算公式:添加剂加入量的计算公式为:

式中:x££再生制品配方中所需某种助剂的添加量;
A££再生制品配方中废旧塑料的总量;
A1,A2,…,An££再生制品配方中各种废旧塑料的量;
B££再生制品配方中需添加某种助剂的质量比;
C1,C2,…,Cn££各种废旧塑料原配方中某种助剂的质量比;
K1,K2,…,Kn££各种废旧塑料原配方中某种助剂的损耗系数,可根据实际经验来估算。
(2) 举例:用1000kg废旧农用聚氯乙烯薄膜再生加工鞋底,在配方中需要添加增塑剂多少kg?
解: 例中所用废旧塑料仅有农用聚氯乙烯薄膜一种,故a=A1。再生鞋底配方中要求增塑剂的质量比b为60phr,我国各地生产的聚氯乙烯薄膜配方中增塑剂的质量比C一般为45phr。根据实践经验,在废旧聚氯乙烯农用薄膜中的损耗系数K一般为0.8~0.95,在此取K值为0.9。所需添加的增塑剂量x可按上述公式进行计算,结果为:

计算结果表明在鞋底的配方中需要添加139kg增塑剂。同样,也可以用上述公式计算出其他添加剂的加入量。由于配方中对稳定剂、润滑剂和颜料的需求量较小,所以完全可以在实际生产中随时调整。
上述的计算结果在很大程度上仍然是估计量,并不能确定是最佳量。为了确保再生制品的质量,还需按配方制成试样,然后检验其物理、机械性能,再根据检测结果进一步调整配方,使其更为合理。