国网合肥供电公司,国网安徽省电力有限公司物资分公司的研究人员朱春阳、戚岭娜、童鑫,在2019年第3期《电气技术》杂志上撰文指出,配电变压器作为配电网中最重要设备之一,其绝缘状态直接影响着配电网的正常运行。本文首先详细介绍了目前配电变压器绝缘状态的主要检测方法,然后分析当前检测技术存在的问题,最后对未来的发展进行展望。

配电网作为整个电网运行的终端,其供电质量和供电可靠性直接影响客户对供电公司的评价。而配电变压器作为配电网中最重要的设备之一,却长期因被建设及运营管理等环节忽视和所处的恶劣运行环境而导致其事故频发,已严重影响配电网正常运行和用户端供电质量的提高。据相关文献统计表明,配电变压器事故约占整个配电网事故的90%。因此,针对配电变压器绝缘状态的检测就显得非常重要。
配电变压器在配电网中具有数量多、分布广且维护量大的特点,相对于大型变压器,负责运行和试验的单位往往不愿付出高昂的代价去进行相关试验。而且对配电变压器绝缘状态评估及量化的标准也较为缺乏。因此,如何及时、方便和有效地检测配电变压器绝缘状态一直困扰着电力研究人员。
本文针对配电变压器运行管理的实际特点,综述了近年来对配电变压器绝缘状态检测技术方面的相关研究成果,探讨分析了当前检测技术存在的问题,并对未来发展进行了展望。
1 配电变压器绝缘状态检测技术
配电变压器发生绝缘状态变化时常伴有一些物理量的变化,如:绝缘电阻、直流电阻、局部放电等。通过对这些物理量的检测及其发展趋势的观测,可以有效判断配电变压器的绝缘状态。目前,常见的检测技术主要分为离线检测和在线检测。
1.1 离线检测技术
离线检测技术的检测方法:通常在配电变压器退出系统运行时,利用相关设备对影响配电变压器绝缘的一些典型物理量进行检测,如绝缘电阻、变压器变比等,并结合相关规程规定和历史数据进行绝缘状态判断。在实际现场中,离线检测技术因具有绝缘判断快速、简便等特点,所以其无论在配电变压器例行检修还是故障检修中,都被广泛使用。根据检测物理量的不同,配电变压器绝缘状态离线检测技术的常用方法可分为以下6种。
1)绝缘电阻检测法
绝缘电阻是反映电力设备绝缘状况最为重要且常用的指标之一。对配电变压器绝缘电阻进行测量,可以有效发现其绝缘整体受潮、贯通的集中性缺陷等,如变压器内绝缘油受潮、瓷件破裂、器身内部金属性短路等。
其在现场试验时的突出优点是:①对判断变压器整体的绝缘状态有着较高的灵敏性;②绝缘电阻的测试仪器——绝缘电阻表,具有体积小、携带方便的优点,非常利于对数量众多的配电变压器进行绝缘状态测试。
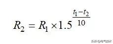
由于绝缘电阻的测试受温度影响较大,因此应将测试结果换算成同一温度条件下绝缘电阻值。根据DL/T 596—1996、GB/T 6451—2008标准,绝缘电阻温度换算式为

式 (1)
式中,R1和R2分别代表换算前t1和换算后t2时刻的绝缘电阻值。
2)变压器变比检测法
正确的变压器变比是确保系统电压稳定和并列运行的重要条件之一。变压器变比测试无论在出厂试验还是在新安装、故障检测时,都是必不可少的检测项目。对配电变压器进行变比测试,根据测试结果可以判断绕组中存在的金属性匝间短路状况、分接开关接线档位以及绕组匝数比的正确性。同时,变比测试仪中的变比电桥体积小,操作方便,易携带,非常有利于对配电变压器的现场快速检测。
根据DL/T 596—1996、GB 50150—2006标准规定,当配电变压器变比≥3时,变比允许偏差范围最大为±0.5%;当变比<3时,变比允许偏差范围最大为±1%。同时规定,对于变比≥3的配电变压器,其变比应在阻抗电压百分比的1/10之内,且不得超过±1%。
3)直流电阻检测法
配电变压器绕组直流电阻测试是一项既重要又简便的测试方法。无论在交接、大修还是例行试验中,都是必不可少的试验项目。通过直流电阻的测量结果,可以判断配电变压器是否存在绕组接头焊接情况、分接开关及导线接触不良、绕组金属性匝间短路等。长期以来,对配电变压器绕组直流电阻的测试被看成是对其绝缘考察的最主要手段之一。
直流电阻的测试结果同样受温度影响较大,因此对测试结果的比较分析需换算到同一温度条件下。直流电阻的换算式为

式(2)
式中:R1代表换算前t1时刻的直流电阻值;R2代表换算后t2时刻的直流电阻值;T代表温度换算系数,其中铜线为235,铝线为225。
由文献[17]可知,当直流电阻测试结果变大时,说明配电变压器绕组的接头焊接质量或引线接触不良;当直流电阻测试结果变小时,说明变压器绕组可能发生匝间短路情况。根据DL/T 596—1996、GB 50150—2006标准规定配电变压器直流电阻,其相间差别一般不大于三相平均值的4%,线间差别一般不大于三相平均值的2%。
4)操作波感应耐压试验法
操作波感应耐压试验可以有效发现配电变压器的层间、匝间或主绝缘缺陷,且目前研究的成果采用充电式蓄电池作为电源,可大大降低试验装置的体积、复杂程度及试验现场对交流电源的要求。
由文献[6,18-19]可知,操作波感应耐压试验装置主要由蓄电池、升压模块、开关模块、高压探头、数据采集和分析系统组成。通过调节升压模块和开关模块,可以控制操作波的幅值、波头时间等。图1至图3分别为典型的无缺陷、主绝缘缺陷和匝间绝缘缺陷下的操作波波形图。

图1 无缺陷操作波波形
5)离线式局部放电检测法
局部放电是在强电场作用下、电力设备内部发生的一种非贯穿性的放电现象。在电力设备中发生的局部放电常会伴随着电脉冲、化学反应和发热等现象,这些现象的发生都会加速绝缘材料的劣化。因此,变压器中发生局部放电现象是其发生绝缘劣化的重要表征,即通过检测变压器的局部放电情况可以发现其绝缘状态。

图2 主绝缘缺陷操作波波形

图3 匝间绝缘缺陷操作波波形
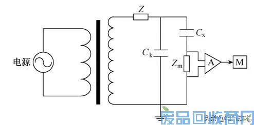
局部放电的测量以脉冲电流法应用最为广泛。图4为典型的离线式脉冲电流法的测试电路结构图。在图4中,Cx为试品,Ck为耦合电容,Zm为检测阻抗,Z为低通滤波器。利用图4测量系统可得到局部放电的视在放电量、放电相位、放电频次等特征信息。对这些特征信息的综合分析,可以帮助相关技术人员判断配电变压器的绝缘状态。

图4 离线式脉冲电流法测试电路结构
为了研究局部放电类型与局部放电特征信息之间的关系,众多学者采用预设不同种放电类型,如尖端放电、沿面放电等,寻找出局部放电类型与特征信息的对应关系,从而帮助识别发现变压器缺陷类型。图5为利用局部放电相位与对应放电量关系得到的谱图(即PRPD谱图)。利用PRPD谱图的形状特征可识别局部放电类型。

图5 PRPD谱图
6)介电响应法
介电响应法具有抗干扰能力强、测试无附加损耗和携带信息丰富等优点,适合于对配电变压器进行现场绝缘状态诊断。根据时域和频域的不同,可将介电响应法分为时域检测法和频域检测法。其中,又可以将时域检测法分为回复电压测量法(RVM法)和极化去极化电流法(PDC法)。
(1)时域检测法通过对试品施加一阶跃电压,测得其输出电流、回复电压最大值等信息,并通过数据分析判断系统绝缘状况。其中,回复电压测量法只能对变压器整体绝缘状况进行评估,且对系统误差较为敏感。极化去极化电流法可将变压器绝缘油与绝缘纸的绝缘状况分别评估,但相较回复电压测量法,其测试易受现场噪声干扰。
(2)频域检测法通过对试品施加正弦电压,测试得出其幅值和相位响应,并借助傅里叶级数计算出试品介电常数和介质损耗角正切等信息。相较于时域检测法,频域检测法可直接区分绝缘纸、绝缘油及油纸结构的影响,且测试频带窄、抗干扰能力强。因此,频域检测法更适合于变压器现场绝缘状况测量和诊断。
1.2 在线检测技术
利用在线检测技术测试待测电力设备时,设备无需退出运行。因此,与离线检测技术相比,在线检测可真实的反映出电力设备在运行电压下的绝缘状态,且测试结果的可信度也相对较高。随着供电单位对供电可靠性和不停电小时数要求的提高,在线检测越来越受到关注和重视。目前,研究人员主要通过观测配电变压器发生局部放电时的电脉冲、绝缘材料分解的气体、漏磁状况等进行在线检测。主要检测技术有以下5种。
1)在线式局部放电检测法
目前,在线式局部放电检测法有特高频法、超声波法和光测法。其中,特高频法和超声波法的使用较为广泛。
(1)研究表明,当变压器发生局部放电时,会发出频率达GHz的电磁波。因此,可通过对特高频电磁波的检测实现对局部放电的检测。特高频局部放电在线检测主要采用在变压器上开一介质窗,并将特高频天线放入其中,从而提取局部放电信号。目前,应用较为广泛的特高频天线有双螺旋阿基米德天线和平面等角螺旋天线。由于其有着良好的抗电晕效果,所以在局部放电在线检测中应用较为广泛。
(2)变压器中产生局部放电时,往往也会伴随着超声波的产生。因此,通过检测超声波是检测局部放电的另一个途径。超声波法一般将压电超声波传感器放置于变压器箱壳上,当存在局部放电信号时,将检测到的超声波信号转换为电信号进行检测。近年来,随着光纤技术的进步,利用超声—光检测的技术正在替代传统的超声波技术。超声波检测现场操作较为便捷,是一种常用的变压器在线检测手段。
(3)变压器发生局部放电时也会伴随着光信号的传播。因此,可利用对光信号的检测来判断变压器的绝缘状态。目前,由于光传感器设备灵敏度较差且设备较为昂贵,所以其尚处在实验室阶段,广泛使用还需解决上述问题。
2)漏磁检测法
针对双绕组变压器漏磁通分布大体以绕组为中心分布的特性,文献[25]在漏磁通中心面上下轴向布置了两个对称的线圈。若变压器“健康”(即漏磁通对称分布式)时,则两个线圈感应出的电动势大小相等、方向相反,二者串联输出电压为零。而当变压器发生故障(即漏磁通不再对称)时,两个线圈感应出的电动势串联之和不为零。这种在线检测手段实施方便,成本也较低,但由于在实际测试中漏磁通的两个线圈即使在健康变压器中也不一定为零,因此该方法的广泛应用尚在探索中。
3)短路电抗在线检测法
绕组变形是变压器损坏的主要原因之一,同时也是变压器处于亚健康状态的重要表征形式之一。因此,通过测试配电变压器的绕组变形情况,可以在一定程度上判断配电的绝缘状态。而短路电抗法因算法程序简单、标准明确,所以这又是变压器绕组变形测试最重要的方法之一。
文献[28]提出一种在线检测电路电抗的方法,其不受非对称负荷影响且测量参数少。短路电抗在线检测法通常只需测试不同负荷条件下,配电变压器的一次侧和二次侧的电压、电流值,再由此推出配电变压器的短路电抗。根据DLT 1093—2008规定,配电变压器短路电抗变化应≤±2%。
4)油中溶解气体分析
当变压器内部发生局部放电或过热故障时,其绝缘材料将分解出多种气体。实践表明,这些气体包括CO2、CO、CH4、C2H4、H2等。通过对不同故障以及所分解气体含量的分析,可得到故障类型与分解气体的关系,充油变压器在不同故障类型下的分解气体见表1。此外,通过分析各分解气体的含量变化可作为判断变压器老化程度和故障的重要特征。

表1 充油变压器在不同故障类型下的分解气体
目前,随着研究的不断深入和模糊数学、神经网络等先进工具的使用,油中溶解气体分析已成为判断变压器故障较为准确的方法之一,特别是针对变压器潜伏性故障判断最为有效。
5)油中糠醛含量分析
变压器中主要的固体绝缘材料为绝缘纸和绝缘板。随着绝缘纸和绝缘板的老化,其会分解产生一种名为糠醛的液体分子。因此,可通过检测变压器内糠醛的含量判断变压器绝缘的劣化程度。由《电力设备预防性试验》可知,在不同运行年限下变压器糠醛含量有着不同的标准,见表2。

表2 不同运行年限下变压器糠醛含量标准
当糠醛含量达到1~2mg/L时,变压器绝缘劣化严重;当糠醛含量达到4mg/L时,变压器已接近寿命终点。
2 存在的问题及未来发展
对于数量众多的配电变压器而言,现场试验人员更希望有一种携带方便而判断绝缘状态较为有效的方法。目前,在配电变压器绝缘状态众多的检测方法中,离线检测技术仍是供电系统内应用最为广泛的手段。随着供电公司对配电网供电质量要求的逐步提高,在线检测技术也在逐步推进应用中。尽管如此,两种检测技术也都存在着一些不可忽视的问题:
1)离线检测为例行停电或故障后采用的测试方法,但其对提高不停电小时数和供电质量的帮助有限。并且,其与在线检测技术相比,难以反映配电变压器在运行电压下的绝缘状态。 2)目前,在线检测技术价格相对昂贵,对数量众多的配电变压器来说,应用经济性较差。 3)配电变压器在线检测技术的应用还不是非常普遍,技术在实践中的有效性有待进一步验证。针对上述问题,配电变压器绝缘状态检测可以考虑从以下几方面发展:
1)提升在线检测技术的有效性,尽量在经济性与有效性中找到平衡。 2)为达到经济性,可将在线检测技术与离线检测技术相结合,以减小成本、降低例行停电检修次数和故障次数。 结论 1)目前,传统的离线测试技术仍是配电变压器绝缘状态检测的主要技术手段,如绝缘电阻测试法、变压器变比法等。 2)在线检测技术相对离线检测技术有较强的技术优势,但其成本相对较高,尚未大面积使用。 3)对数量众多的配电变压器而言,离线检测与在线检测的结合将是未来发展的重要方向。