
图1 上变频器总体框图
上变频器的输入信号为I/Q两路,与单路混频上变频相比可以更好地抑制载波和一个边带。为了使射频输出能够进行精确的功率控制,信号滤波后使用AGC电路去除器件噪声和输入信号不稳的影响,结合多级数控衰减器和固定衰减器输出组成的衰减网络,达到功率控制的目的。本振模块采用可编程的PLL电路,使设计可以应用于L波段多个频点上变频器的本振信号产生。写频控制信号和衰减控制信号由上级电路给出,用于上变频器控制相应的模块。
3 主要模块的分析和设计
3.1 IQ调制电路分析和设计
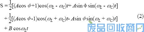
假设两路中频信号分别为i(t)、q(t),正交的载波分别为si、sq,输出信号为S,则有:

其中,i(t)=cosωCt ,q(t)=sinωCt ,si=cosωLt ,sq=sinωLt
由此可见当两路信号正交时,载波和一个边带被完全抑制,这就减少了对射频滤波器的要求。如果两路信号不正交,令i(t)=Acos(ωCt+φ)+B ,其中A表示信道增益不平衡,φ表示相位不平衡,B表示直流偏差,则:

此时,输出信号不能完全抑制载波和一个边带,且会对需要的边带产生影响。为了减少IQ正交性对输出信号性能的影响,上变频器的IQ两信道要对称,并且提供相同的直流驱动来提高IQ调制电路的载波和边带抑制能力。
3.2 PLL电路设计
PLL电路产生本振信号。PLL是一种相位反馈控制系统,它能使压控振荡器的频率和相位均与输入信号保持确定关系,并且使输入信号中存在的噪声及压控振荡器自身的相位噪声得到一定的抑制,PLL电路原理如图2所示:

图2 锁相环电路原理框图
设计中可以使用内部集成鉴相器和分频器的可编程频率合成器,与外部环路滤波器和VCO构成完整的PLL。由于产生的本振频点的可编程性,使电路的设计对不同频点信号具有通用性,可以适应不同系统的要求。
在使用集成频率合成器和VCO的PLL电路设计中环路滤波器的设计是关键,其作用是抑制鉴相器输出电压中的载频分量和高频噪声,降低由VCO控制电压的不纯而引起的寄存器输出,对输出的本振信号频率稳定度有很大的影响。
3.3 AGC电路设计
AGC电路是一种在输入信号幅度变化很大的情况下使输出信号幅度在较小范围内变化的自动控制电路。常用的反馈型AGC原理和线性模型如图3~4所示。

图3 AGC原理框图

图4 AGC控制环路模型
在上变频器中,为了抑制器件温漂、输入变化以及其他干扰从而实现对射频输出功率的精确控制,需要使用AGC电路稳定调制器输出信号的功率。
3.4 阻抗匹配和屏蔽
为了保证信号传输效率,PCB 板要充分考虑阻抗匹配的问题,主要包括各个模块之间以及信号线的匹配。以三端连接时50Ω阻抗匹配为例,每端串联16或18欧姆电阻,则每端看入的阻抗均为:(16/18+50)/2+16/18≈50(Ω)。
射频电路的每个部分均封装在金属盒的分腔中,减少前后级射频辐射的相互影响,尤其对于多级衰减电路,屏蔽的作用尤为重要。同时在PCB电路板布线时,要充分考虑射频辐射的影响。
3.5 软件设计
控制信号接口的微控制器的软件主要功能是接收和解析上级电路的写频控制信号和功率控制控制信号,使用I2C总线传输,协议简单且两条传输线占用空间少,软件流程如图5所示。

图5 软件流程图
4 电路实现和测试结果
4.1 电路实现
(1)IQ调制电路实现
IQ调制芯片使用ADI公司的AD8346,其工作频率为0.8GHz~2.5GHz,边带抑制可达-36dBc(本振1.9GHz时的标称值,背景噪声仅为-147dBm/Hz,调制带宽为DC~70MHz,在输入信号正交性较好的情况下,实际电路能够把载波和一个边带抑制40-50dBm,可以满足电路性能要求。
(2)PLL电路实现
PLL电路选用ADI公司的小数分频频率合成器ADF4153,频率范围500MHz~4GHz,包含低噪声数字鉴相器,精密的电荷泵以及可编程的参考分频器(三线串行接口,可以使用微控制器通过CLK、DATA和LE三条线进行写频,并且支持SPI总线方式)。
以参考频率10.23MHz,分辨率10kHz,产生1222MHz本振为例,ADF4153频率设置如下:
MOD=10.23MHz/10kHz=1023
INT=1222MHz/10.23MHz=119(取整数部分)
FRAC=(1222/10.23-119)*MOD=463
然后根据MOD INT FRAC设置芯片N和R寄存器的相应位。压控振荡器选用ZCOMM公司的V585ME15,频率范围是1100MHz~1400MHz,典型的1Hz带宽情况下10kHz偏移量处的相位噪声为~100dB/Hz。
(3)AGC电路实现
AGC电路中可控增益放大器选用ADL5330,ADL5330是一款能提供1MHz~3GHz宽频带,具有以dB为单位呈线性增益控制范围的单片VGA。它集成了宽带放大器和衰减器,所以比分立器件实现方案极大地节省印制电路板面积、减少元器件数量并且降低成本。ADL5330具有60dB动态增益和衰减范围(约+20dB增益和-40dB衰减),22dBm输出功率水平(1dB压缩点)以及在1GHz频率和8dB噪声系数(NF)下具有+31dBm输出三阶截点(OIP3)。
ADL5330可以和ADI公司的I/Q调制器(选用的是AD8346)和功率检测器(选用的是AD8361)较好的配合使用,构成完整的信号通道。
电平检测选用ADI公司的AD8361,该芯片典型应用就是发射功率控制,频率响应范围是0.1~2.5GHz,输入范围最高可达30dB,线性和频率稳定度较好(14dB范围内的误差为±0.25dB,23dB范围内的误差为±1dB)。
通过调节环路的直流增益(检波器后面的运放)可以调节AGC输出,稳定后输入变化环路自动调节VGA的放大倍数从而保持输出不变,实际电路经调试可以保证在输入变化50dBm的范围内变化输出基本保持稳定。
(4)控制信号接口电路实现
控制信号接口模块的微控制器选用Atmel公司的ATmg16单片机,硬件支持I2C总线,程序设计更为方便。
4.2 测试结果
本文实现了可以进行精确实时功率控制和本振频率控制的上变频器,实际电路设计中各个部分采用分腔的结构,通过对各个分腔模块的调整可以实现对不同波段和功率要求应用的快速调整和重新设计。
图6~7为一个具体上变频器的实际测试结果。中频输入信号为46.52MHz,上变频至1268.52MHz , 功率控制范围为-130dBm~-50dBm, 步进量为0.25dBm,频点可以在1100MHz~1400MHz范围内以10kHz的分辨率任意设置。测试结果表明电路产生的本振信号稳定,IQ调制器输出对载波和下边带抑制达到30-40dB,上变频后的信号质量较好。

图6 本振信号

图7 上变频后载波和下边带的抑制情况
5 结束语
本文分析了发射机射频上变频器各个组成部分,提出了多波段兼容上变频器的设计方案,并且具体设计和实现了一个L波段上变频电路,给出了实际测试结果。实际测试结果表明电路性能良好,为通用射频模块设计提供一种解决方案。
本文作者创新点:射频电路设计和调试往往比较困难。本文设计了一种适用于多个频点的通用上变频器,可以对本振信号频点和输出功率进行实时控制,电路结构清晰,实际电路性能良好,提供了一种通用射频上变频器的设计方案。电路不变,通过调整少量元件便可以迅速设计出所需频率范围的上变频器电路。